Постановление Правительства Красноярского края от 26.03.2020 N 173-п "Об утверждении Порядка определения объема и предоставления субсидии Региональной общественной организации ветеранов войны, труда и спорта физкультурно-спортивных организаций Красноярского края на финансирование расходов, связанных с обеспечением участия ветеранов спорта Красноярского края в межрегиональных, всероссийских и международных спортивных соревнованиях среди ветеранов спорта, за исключением соревнований, являющихся физкультурными мероприятиями, включенными в Единый календарный план межрегиональных, всероссийских и международных физкультурных мероприятий и спортивных мероприятий"
ПРАВИТЕЛЬСТВО КРАСНОЯРСКОГО КРАЯ
ПОСТАНОВЛЕНИЕ
26.03.2020 | г. Красноярск | N 173-п |
Об утверждении Порядка определения объема и предоставления субсидии Региональной общественной организации ветеранов войны, труда и спорта физкультурно-спортивных организаций Красноярского края на финансирование расходов, связанных с обеспечением участия ветеранов спорта Красноярского края в межрегиональных, всероссийских и международных спортивных соревнованиях среди ветеранов спорта, за исключением соревнований, являющихся физкультурными мероприятиями, включенными в Единый календарный план межрегиональных, всероссийских и международных физкультурных мероприятий и спортивных мероприятий
(В редакции Постановления Правительства Красноярского края от 16.09.2020 г. N 625-п)
В соответствии со статьей 78.1 Бюджетного кодекса Российской Федерации, статьей 103 Устава Красноярского края, статьей 7 Закона Красноярского края от 18.12.2008 N 7-2617 "О бюджетном процессе в Красноярском крае", Законом Красноярского края от 05.12.2019 N 8-3414 "О краевом бюджете на 2020 год и плановый период 2021–2022 годов" ПОСТАНОВЛЯЮ:
1. Утвердить Порядок определения объема и предоставления субсидии Региональной общественной организации ветеранов войны, труда и спорта физкультурно-спортивных организаций Красноярского края на финансирование расходов, связанных с обеспечением участия ветеранов спорта Красноярского края в межрегиональных, всероссийских и международных спортивных соревнованиях среди ветеранов спорта, за исключением соревнований, являющихся физкультурными мероприятиями, включенными в Единый календарный план межрегиональных, всероссийских и международных физкультурных мероприятий и спортивных мероприятий, согласно приложению.
2. Опубликовать постановление на "Официальном интернет-портале правовой информации Красноярского края" (www.zakon.krskstate.ru).
3. Постановление вступает в силу в день, следующий за днем его официального опубликования.
Первый заместитель Губернатора края - председатель Правительства края | Ю.А. Лапшин |
Приложение
к постановлению Правительства
Красноярского края
от 26.03.2020 N 173-п
Порядок определения объема и предоставления субсидии Региональной общественной организации ветеранов войны, труда и спорта физкультурно-спортивных организаций Красноярского края на финансирование расходов, связанных с обеспечением участия ветеранов спорта Красноярского края в межрегиональных, всероссийских и международных спортивных соревнованиях среди ветеранов спорта, за исключением соревнований, являющихся физкультурными мероприятиями, включенными в Единый календарный план межрегиональных, всероссийских и международных физкультурных мероприятий и спортивных мероприятий
(В редакции Постановления Правительства Красноярского края от 16.09.2020 г. N 625-п)
1. Общие положения
1.1. Настоящим Порядком определения объема и предоставления субсидии Региональной общественной организации ветеранов войны, труда и спорта физкультурно-спортивных организаций Красноярского края на финансирование расходов, связанных с обеспечением участия ветеранов спорта Красноярского края в межрегиональных, всероссийских и международных спортивных соревнованиях среди ветеранов спорта, за исключением соревнований, являющихся физкультурными мероприятиями, включенными в Единый календарный план межрегиональных, всероссийских и международных физкультурных мероприятий и спортивных мероприятий (далее – Порядок, субсидия, Получатель, ЕКП), определяются цели, условия и порядок предоставления субсидии, в том числе результат предоставления субсидии и показатель, необходимый для его достижения, порядок, сроки и формы представления Получателем отчетности о достижении такого результата, показателя, требования об осуществлении контроля за соблюдением условий, целей и порядка предоставления субсидии и ответственности за их нарушение.
1.2. Для целей Порядка используется следующие понятия:
1) ветеран спорта – лицо старше 35 лет, участвующее в физкультурных мероприятиях и спортивных соревнованиях среди такой категории лиц, не включенное при этом в списки кандидатов в спортивные сборные команды Российской Федерации, субъектов Российской Федерации по видам спорта;
2) ветеран спорта Красноярского края – ветеран спорта, имеющий место жительства на территории Красноярского края, выступающий в межрегиональном, всероссийском или международном спортивном соревновании среди ветеранов спорта, за исключением соревнований, являющихся физкультурными мероприятиями, включенными в ЕКП, и являющийся членом Получателя.
1.3. Субсидия предоставляется Получателю с целью обеспечения участия ветеранов спорта Красноярского края в межрегиональных, всероссийских и международных спортивных соревнованиях среди ветеранов спорта, за исключением соревнований, являющихся физкультурными мероприятиями, включенными в ЕКП, в рамках государственной программы Красноярского края "Развитие физической культуры и спорта", утвержденной постановлением Правительства Красноярского края от 30.09.2013 N 518-п.
Расходование средств субсидии осуществляется Получателем по следующим направлениям финансового обеспечения затрат:
1) обеспечение проезда ветеранов спорта Красноярского края к месту проведения межрегиональных, всероссийских и международных спортивных соревнований среди ветеранов спорта, за исключением соревнований, являющихся физкультурными мероприятиями, включенными в ЕКП.
Расходы на командирование к месту проведения соревнований подтверждаются проездными документами, но не выше стоимости проезда:
железнодорожным транспортом – в купейном вагоне пассажирского поезда;
внутренним водным транспортом – в каюте III категории речного судна всех линий сообщений;
морским транспортом – в каюте IV–V групп морского судна регулярных транспортных линий;
воздушным транспортом – в салоне экономического (низшего) класса;
автомобильным транспортом – в автобусе общего типа;
2) обеспечение питанием ветеранов спорта Красноярского края в период проведения межрегиональных, всероссийских и международных спортивных соревнований среди ветеранов спорта, за исключением соревнований, являющихся физкультурными мероприятиями, включенными в ЕКП.
Расходы на оплату питания одного человека не должны превышать 700 рублей в сутки;
3) обеспечение проживанием ветеранов спорта Красноярского края в период проведения межрегиональных, всероссийских и международных спортивных соревнований среди ветеранов спорта, за исключением соревнований, являющихся физкультурными мероприятиями, включенными в ЕКП.
Суточные расходы на найм жилого помещения в период проведения соревнований не должны превышать стоимость одноместного номера первой категории (стандартный);
4) обеспечение страхования жизни и здоровья ветеранов спорта Красноярского края в целях участия в межрегиональных, всероссийских и международных спортивных соревнований среди ветеранов спорта, за исключением соревнований, являющихся физкультурными мероприятиями, включенными в ЕКП;
5) обеспечение оплаты организационного взноса за участие ветеранов спорта Красноярского края в целях участия в межрегиональных, всероссийских и международных спортивных соревнований среди ветеранов спорта, за исключением соревнований, являющихся физкультурными мероприятиями, включенными в ЕКП;
6) обеспечение оплаты комиссии кредитной организации за перечисление средств ветеранам спорта Красноярского края в качестве возмещения понесенных ими расходов, указанных в подпунктах 1–3 настоящего пункта.
1.4. Уполномоченным органом исполнительной власти Красноярского края, до которого в соответствии с бюджетным законодательством Российской Федерации как получателя бюджетных средств доводятся в установленном порядке лимиты бюджетных обязательств на предоставление субсидии на соответствующий финансовый год и плановый период, является министерство спорта Красноярского края (далее – Министерство).
2. Условия и порядок предоставления субсидии
2.1. Субсидия предоставляется Получателю при соблюдении следующих условий:
1) согласие Получателя и лиц, являющихся поставщиками (подрядчиками, исполнителями) по договорам (соглашениям), заключенным в целях исполнения обязательств по соглашению о предоставлении субсидии на осуществление Министерством, службой финансово-экономического контроля и контроля в сфере закупок Красноярского края и Счетной палатой Красноярского края проверок соблюдения ими условий, цели и порядка предоставления субсидии;
2) гарантия (обязательство) соблюдать запрет на приобретение за счет полученных средств, предоставленных в целях финансового обеспечения затрат получателя, иностранной валюты, за исключением операций, осуществляемых в соответствии с валютным законодательством Российской Федерации при закупке (поставке) высокотехнологичного импортного оборудования, сырья и комплектующих изделий, а также связанных с достижением целей предоставления указанных средств иных операций, определенных нормативными правовыми актами, муниципальными правовыми актами, регулирующими порядок предоставления субсидий некоммерческим организациям, не являющимся государственными (муниципальными) учреждениями.
2.2. Требования к Получателю:
отсутствие у Получателя просроченной задолженности по возврату в краевой бюджет субсидий, бюджетных инвестиций, предоставленных в том числе в соответствии с иными правовыми актами, и иной просроченной задолженности перед краевым бюджетом;
Получатель не должен находиться в процессе реорганизации, ликвидации, в отношении его не введена процедура банкротства, деятельность заявителя не приостановлена в порядке, предусмотренном законодательством Российской Федерации;
отсутствие у Получателя неисполненной обязанности по уплате налогов, сборов, страховых взносов, пеней, штрафов, процентов, подлежащих уплате в соответствии с законодательством Российской Федерации о налогах и сборах.
Указанным требованиям Получатель должен соответствовать на 1-е число месяца, предшествующего месяцу, в котором заключено соглашение с Получателем.
2.3. Для получения субсидии Получатель в срок с 1 декабря года, предшествующего году предоставления субсидии по 30 апреля года предоставления субсидии (в целях предоставления субсидии на 2020 год – с 30 марта по 25 сентября 2020 года) представляет в Министерство нарочным, посредством почтового отправления по адресу: 660017, г. Красноярск, ул. Красной Армии, д. 3, кабинет 3-06, или в электронной форме по адресу электронной почты priem@minsport24.ru следующие документы: (В редакции Постановления Правительства Красноярского края от 16.09.2020 г. N 625-п)
1) заявку на получение субсидии (далее – заявка);
2) копию устава Получателя и изменений в него;
3) план расходования средств субсидии;
4) документ, подтверждающий полномочия лица на подписание заявки от имени Получателя (в случае, если заявка подписывается лицом, не являющимся лицом, имеющим право без доверенности действовать от имени Получателя в соответствии со сведениями, размещенными в едином государственном реестре юридических лиц (далее – руководитель);
5) гарантию Получателя об отсутствии просроченной задолженности по возврату в бюджет Красноярского края субсидий, бюджетных инвестиций, предоставленных в том числе в соответствии с иными (помимо Порядка предоставления субсидии) правовыми актами, и иной просроченной задолженности перед бюджетом Красноярского края;
6) декларацию Получателя о том, что он не находится в процессе реорганизации, ликвидации, банкротства;
7) выписку из единого государственного реестра юридических лиц, полученную не ранее чем за 10 календарных дней до дня направления заявки в Министерство;
8) гарантию Получателя об отсутствии неисполненной обязанности по уплате налогов, сборов, страховых взносов, пеней, штрафов, процентов, подлежащих уплате в соответствии с законодательством Российской Федерации о налогах и сборах;
9) справку Управления Федеральной налоговой службы по Красноярскому краю об исполнении налогоплательщиком (плательщиком сбора, плательщиком страховых взносов, налоговым агентом) обязанности по уплате налогов, сборов, страховых взносов, пеней, штрафов.
2.4. Документы, указанные в пункте 2.3 Порядка, должны соответствовать следующим требованиям:
1) заявка оформляется в соответствии с формой согласно приложению N 1 к Порядку;
2) план расходования средств субсидии оформляется в соответствии с формой согласно приложению N 2 к Порядку;
3) документы должны быть выполнены с использованием технических средств, без подчисток, исправлений, помарок, неустановленных сокращений и формулировок, допускающих их двоякое толкование;
4) копия устава Получателя и принятые в него изменения (при наличии) заверяются нотариально либо руководителем, или уполномоченным им лицом;
5) каждый документ прошивается и нумеруется отдельно, скрепляется подписью руководителя или уполномоченного им лица с указанием общего количества листов (за исключением документов, представляемых в электронной форме);
6) документы, представленные в электронной форме, подписываются с использованием усиленной квалифицированной электронной подписи уполномоченного на подписание заявки должностного лица в соответствии с Федеральным законом от 06.04.2011 N 63-ФЗ "Об электронной подписи". (Дополнен - Постановление Правительства Красноярского края от 16.09.2020 г. N 625-п)
2.5. Поступившая заявка регистрируется Министерством в день поступления в Министерство.
Заявка и прилагаемые к ней документы, поступившие ранее или направленные позднее сроков, указанных в пункте 2.3 Порядка, не рассматриваются и не возвращаются заявителю, о чем он уведомляется Министерством.
2.5.1. В случае поступления документов, указанных в пункте 2.3 Порядка, в электронной форме Министерство в течение 3 рабочих дней со дня регистрации документов проводит процедуру проверки действительности усиленной квалифицированной электронной подписи, с использованием которой подписаны документы (далее – проверка подписи).
В случае если в результате проверки подписи будет выявлено несоблюдение установленных условий признания действительности усиленной квалифицированной электронной подписи, Министерство в течение 3 рабочих дней со дня завершения проверки подписи принимает решение об отказе в приёме и рассмотрении документов и направляет Получателю уведомление об этом на адрес электронной почты Получателя, с которого поступили документы, указанные в пункте 2.3 Порядка, с указанием пунктов статьи 11 Федерального закона от 06.04.2011 N 63-ФЗ "Об электронной подписи", которые послужили основанием для принятия данного решения.
После получения уведомления Получатель вправе повторно направить документы, указанные в пункте 2.3 Порядка, устранив нарушения, которые послужили основанием для отказа в приеме и рассмотрении первичных документов.
(Пункт дополнен - Постановление Правительства Красноярского края от 16.09.2020 г. N 625-п)
2.6. Министерство осуществляет рассмотрение представленных Получателем документов в срок не позднее 15 рабочих дней со дня, следующего за днем поступления их в Министерство, после чего утверждает решение о предоставлении субсидии или об отказе в предоставлении субсидии в форме приказа Министерства, о чем в течение 3 рабочих дней уведомляет Получателя, способом, указанным в заявке. (В редакции Постановления Правительства Красноярского края от 16.09.2020 г. N 625-п)
2.7. Отказ в предоставлении субсидии осуществляется по следующим основаниям:
1) несоблюдение Получателем условий предоставления субсидии, указанных в пункте 2.1 Порядка, а также несоответствие требованиям, изложенным в пункте 2.2 Порядка;
2) несоответствие представленных Получателем документов требованиям, определенным подпунктами 1–5 пункта 2.4 Порядка;
3) непредставление (представление не в полном объеме) документов, указанных в пункте 2.3 Порядка;
4) недостоверность информации, содержащейся в документах, представленных Получателем;
5) истребование Получателем субсидии в размере, превышающем размер, указанный в пункте 2.8 Порядка;
6) включение в план расходования средств субсидии мероприятий, не являющихся межрегиональными, всероссийскими и международными спортивными соревнованиями среди ветеранов спорта, или являющихся такими соревнованиями, включенными в качестве физкультурных мероприятий в ЕКП в году истребования субсидии;
7) несоответствие размера истребуемой субсидии в заявке и в плане расходования средств субсидии, представленных Получателем;
8) указание в плане расходования средств субсидии общей численности ветеранов спорта Красноярского края, участие которых планируется в межрегиональных, всероссийских и международных спортивных соревнованиях среди ветеранов спорта, за исключением соревнований, являющихся физкультурными мероприятиями, включенными в ЕКП, в году предоставления субсидии, менее определяемого в соответствии с пунктом 2.12 Порядка.
Решение об отказе в предоставлении субсидии должно содержать указание на причины отказа и на возможность повторного предоставления Получателем документов для получения субсидии в соответствии с пунктами 2.3, 2.4 Порядка.
В случае отказа в предоставлении субсидии документы Получателю не возвращаются.
Повторное рассмотрение заявки Получателя возможно при условии подачи нового пакета документов в срок по 30 апреля года предоставления субсидии (в целях предоставления субсидии на 2020 год – по 25 сентября 2020 года) и осуществляется в рамках пунктов 2.1–2.6 Порядка. (В редакции Постановления Правительства Красноярского края от 16.09.2020 г. N 625-п)
2.8. Субсидия предоставляется Получателю в размере, определяемом в соответствии со сводной бюджетной росписью краевого бюджета в пределах лимитов бюджетных обязательств, доведенных Министерству на текущий финансовый год согласно закону Красноярского края о краевом бюджете на текущий финансовый год и плановый период, но не более истребованного в заявке.
2.9. Одновременно с решением о предоставлении субсидии Министерство направляет Получателю два экземпляра проекта соглашения о предоставлении субсидии на текущий финансовый год, подготовленного в соответствии с типовой формой соглашения (договора) между главным распорядителем средств краевого бюджета и некоммерческими организациями, не являющимися государственными учреждениями, о предоставлении субсидии из краевого бюджета, утверждённой приказом министерства финансов Красноярского края от 17.08.2017 N 84.
2.10. Обязательными условиями предоставления субсидии, включаемыми в соглашение о предоставление субсидии с Получателем, а также в договоры (соглашения), заключенные в целях исполнения обязательств по соглашению о предоставлении субсидии с Получателем, являются условия, указанные в пунктах 2.1, 2.2, 2.3 настоящего Порядка.
Получатель обязан при заключении договоров (соглашений) в целях исполнения обязательств по соглашению о предоставлении субсидии, включать в них условие о согласии поставщиков (подрядчиков, исполнителей) на осуществление Министерством, службой финансово-экономического контроля и контроля в сфере закупок Красноярского края и Счетной палатой Красноярского края проверок соблюдения ими условий, цели и порядка предоставления субсидии.
2.11. Получатель представляет два экземпляра подписанного со своей стороны проекта соглашения о предоставлении субсидии в Министерство нарочным, или почтовым отправлением, или в электронной форме по электронной почте в срок не позднее 10 июля года предоставления субсидии (для предоставления субсидии на 2020 год – не позднее 22 октября 2020 года). (В редакции Постановления Правительства Красноярского края от 16.09.2020 г. N 625-п)
Министерство осуществляет подписание соглашения о предоставлении субсидии в течение 5 рабочих дней со дня представления его Получателем при условии подписания Получателем соглашения о предоставлении субсидии в представленной Министерством редакции и представления его не позднее срока, указанного в предыдущем абзаце настоящего пункта Порядка.
Подписанный экземпляр соглашения о предоставлении субсидии в день подписания Министерством направляется Получателю тем же способом, которым направлялись в Министерство два экземпляра проекта соглашения о предоставлении субсидии, подписанных со стороны Получателя. (В редакции Постановления Правительства Красноярского края от 16.09.2020 г. N 625-п)
2.12. Результатом предоставления субсидии, который должен быть достигнут в году ее предоставления, является участие в межрегиональных, всероссийских и международных спортивных соревнованиях среди ветеранов спорта, за исключением соревнований, являющихся физкультурными мероприятиями, включенными в ЕКП, ветеранов спорта Красноярского края в количестве (В, чел.), определяемом согласно следующей формуле с последующим округлением до меньшего целого значения:
В = | Vсуб. |
kпп / kусл./ kпопр. |
где:
Vсуб. – размер субсидии, предусмотренный соглашением о предоставлении субсидии;
kпп – коэффициент для пересчета размера субсидии с учетом текущего уровня цен;
kусл. – усредненный размер затрат на обеспечение участия ветерана спорта Красноярского края в спортивном соревновании, равный 29 775,86 рубля;
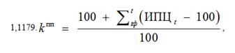
kпопр. – поправочный коэффициент, определенный с учётом вариации размера затрат на обеспечение участия ветерана спорта Красноярского края в спортивном соревновании, рассчитанного при определении kусл., равный

где:
tф – срок формирования ценовой информации, используемой для расчета, начиная с 2019 года;
t – год проведения расчетов (год, предшествующий году предоставления субсидии);
ИПЦt – индекс потребительских цен на год в процентах к предыдущему году, соответствующий месяцу в интервале от tф до t включительно, установленный Федеральной службой государственной статистики.
Показателем результативности использования субсидии, необходимым для достижения результата предоставления субсидии, является число ветеранов спорта Красноярского края, принявших в году предоставления субсидии участие в межрегиональных, всероссийских и международных спортивных соревнованиях среди ветеранов спорта, за исключением соревнований, являющихся физкультурными мероприятиями, включенными в ЕКП. Значение показателя устанавливается в соглашении.
2.13. Министерство ежемесячно до 10-го числа осуществляет перечисление субсидии на расчетный счет Получателя, открытый в российской кредитной организации, указанный в соглашении о предоставлении субсидии, в размере, указанном в графике перечисления субсидии, являющемся приложением к соглашению о предоставлении субсидии.
2.14. В случае уменьшения размера бюджетных ассигнований, предусмотренных на указанную в пункте 1.3 Порядка цель в законе Красноярского края о краевом бюджете на текущий финансовый год и плановый период, Министерство в срок не позднее 5 рабочих дней со дня вступления в силу решения об изменении размера бюджетных ассигнований и лимитов бюджетных обязательств направляет нарочным или заказным почтовым отправлением с уведомлением письменное уведомление об этом Получателю по адресу, указанному в соглашении о предоставлении субсидии.
В случае уменьшения размера бюджетных ассигнований, предусмотренных на указанную в пункте 1.3 Порядка цель в законе Красноярского края о краевом бюджете на текущий финансовый год и плановый период, значение показателя результативности использования субсидии подлежат уменьшению. Новое значение показателя результативности использования субсидии указывается в письменном уведомлении, указанном в абзаце первом настоящего пункта Порядка, с учётом требований пункта 2.12 Порядка.
Получатель в срок не позднее 5 рабочих дней со дня получения письменного уведомления, указанного в абзаце первом настоящего пункта Порядка, представляет в Министерство нарочным, или заказным почтовым отправлением с уведомлением, или в электронной форме по электронной почте проект графика перечисления субсидии с учетом изменения размера бюджетных ассигнований, предусмотренных в законе Красноярского края о краевом бюджете на текущий финансовый год и плановый период на указанную в пункте 1.3 Порядка цель. (В редакции Постановления Правительства Красноярского края от 16.09.2020 г. N 625-п)
Министерство в срок не позднее 3 рабочих дней со дня получения проекта графика перечисления субсидии, указанного в абзаце третьем настоящего пункта, направляет Получателю два экземпляра проекта дополнительного соглашения к соглашению о предоставлении субсидии, подписанных со стороны Министерства, способом, указанным в заявке. (В редакции Постановления Правительства Красноярского края от 16.09.2020 г. N 625-п)
Получатель представляет в Министерство нарочным, или заказным почтовым отправлением с уведомлением, или в электронной форме по электронной почте дополнительное соглашение к соглашению о предоставлении субсидии в течение 5 рабочих дней со дня представления его Министерством. (В редакции Постановления Правительства Красноярского края от 16.09.2020 г. N 625-п)
2.15. Остатки субсидии, не использованные по состоянию на 31 декабря текущего финансового года (года предоставления субсидии), подлежат возврату Получателем в доход краевого бюджета в срок не позднее 15 января очередного финансового года (года, следующего за годом предоставления субсидии).
3. Требования к отчетности
3.1. Получатель ежеквартально, в срок не позднее 15-го рабочего дня месяца, следующего за отчетным кварталом, нарастающим итогом представляет в Министерство нарочным, или посредством заказного почтового уведомления, или в электронной форме по электронной почте: (В редакции Постановления Правительства Красноярского края от 16.09.2020 г. N 625-п)
отчет о достижении результатов показателя результативности по форме согласно приложению N 3 к Порядку.
Министерство, как главный распорядитель бюджетных средств Получателя субсидии, вправе устанавливать сроки и дополнительные формы отчетности, утвержденные в соглашении.
3.2. К отчету о достижении значения показателя результативности прилагаются следующие документы:
1) копии положений о межрегиональных, всероссийских или международных спортивных соревнований среди ветеранов спорта, за исключением соревнований, являющихся физкультурными мероприятиями, включенными в ЕКП, в которых приняли участие ветераны спорта Красноярского края;
2) копии протоколов межрегиональных, всероссийских или международных спортивных соревнований среди ветеранов спорта, за исключением соревнований, являющихся физкультурными мероприятиями, включенными в ЕКП, подтверждающих участие ветеранов спорта Красноярского края в них в году предоставления субсидии;
3) копии документов, подтверждающих приобретение членства Получателя ветеранами спорта Красноярского края, принявшими в году предоставления субсидии участие в межрегиональных, всероссийских или международных спортивных соревнованиях среди ветеранов спорта, за исключением соревнований, являющихся физкультурными мероприятиями, включенными в ЕКП;
4) согласие на обработку персональных данных соответствующих ветеранов спорта Красноярского края по форме согласно приложению N 4 к Порядку;
5) документы, подтверждающие расходы, установленные в подпунктах 1–6 пункта 1.3 Порядка.
3.3. Копии документов, указанных в пунктах 3.1, 3.2 Порядка, не заверенные Получателем, выдавшей их организацией или нотариально, представляются с предъявлением подлинника документа для сверки копии с подлинником.
При представлении Получателем отчетов, указанных в пункте 3.1 Порядка, за второй и последующие кварталы соответствующего финансового года (года предоставления субсидии) повторное представление копий ранее представленных в предыдущие кварталы документов не требуется.
4. Требования об осуществлении контроля за соблюдением условий, целей и порядка предоставления субсидии и ответственности за их нарушение
4.1. Министерством, службой финансово-экономического контроля и контроля в сфере закупок Красноярского края, Счетной палатой Красноярского края в пределах своих полномочий осуществляются проверки соблюдения Получателем условий, цели и порядка предоставления субсидии, согласие на осуществление которых выражено Получателем в соглашении о предоставлении субсидии в соответствии с пунктами 2.1, 2.10 Порядка.
4.2. В случае установления Министерством или получения им от службы финансово-экономического контроля и контроля в сфере закупок Красноярского края и (или) Счетной палаты Красноярского края информации о факте(ах) нарушения Получателем порядка, цели и условий предоставления субсидии, в том числе указания в документах, представленных Получателем в соответствии с соглашением о предоставлении субсидии, недостоверных сведений, а также в случае недостижения результатов показателей, установленных в соглашении, Министерство направляет нарочным или заказным почтовым отправлением с уведомлением не позднее 30 рабочих дней со дня установления соответствующего(их) факта(ов) нарушения Получателю по адресу, указанному в соглашении о предоставлении субсидии, требование об обеспечении возврата субсидии в краевой бюджет в форме письма Министерства в размере и сроки, определенные в указанном требовании.
В соглашении могут предусматриваться дополнительные штрафные санкции.
При этом срок возврата субсидии в краевой бюджет не должен превышать 10 рабочих дней с момента получения Получателем такого требования.
В требовании, указанном в абзаце первом настоящего пункта, указываются реквизиты для возврата субсидии в краевой бюджет.
Получатель обязан устранить факт(ы) нарушения порядка, цели и условий предоставления субсидии в сроки, определенные в указанном в абзаце первом настоящего пункта Порядка требовании, и произвести возврат в краевой бюджет субсидии в размере и в сроки, определенные в указанном требовании.
4.3. В случае если Министерством по результатам оценки достижения Получателем значения показателя результативности использования субсидии, указанного в соглашении о предоставлении субсидии, выявлено его недостижение по состоянию на 31 декабря года предоставления субсидии, Министерство направляет Получателю способом, указанным в соглашении о предоставлении субсидии, не позднее 30 рабочих дней со дня представления Получателем годовых отчетов, указанных в пункте 3.1 Порядка, требование об обеспечении возврата субсидии в краевой бюджет в форме письма Министерства в размере, рассчитываемом по форме согласно приложению N 5 к Порядку. (В редакции Постановления Правительства Красноярского края от 16.09.2020 г. N 625-п)
В требовании, указанном в абзаце первом настоящего пункта, указываются реквизиты для возврата субсидии в краевой бюджет.
Получатель обязан произвести возврат в краевой бюджет субсидии в размере, указанном в требовании, в течение 10 рабочих дней со дня его получения.
4.4. В случае несвоевременного возврата Получателем неиспользованного остатка субсидии и (или) перечисленной субсидии (части субсидии) в краевой бюджет в соответствии с пунктами 2.13, 4.2, 4.3 Порядка Получатель уплачивает в краевой бюджет неустойку в размере одной трехсотой действующей на дату уплаты пеней ключевой ставки Центрального банка Российской Федерации от не возвращенной в срок остатка субсидии и (или) перечисленной субсидии (части субсидии).
Приложение N 1
к Порядку определения объема
и предоставления субсидии Региональной
общественной организации ветеранов
войны, труда и спорта физкультурно-
спортивных организаций Красноярского
края на финансирование расходов,
связанных с обеспечением участия
ветеранов спорта Красноярского края
в межрегиональных, всероссийских
и международных спортивных
соревнованиях среди ветеранов спорта,
за исключением соревнований, являющихся
физкультурными мероприятиями,
включенными в Единый календарный
план межрегиональных, всероссийских
и международных физкультурных
мероприятий и спортивных мероприятий
(форма)
Заявка на получение субсидии Региональной общественной организации ветеранов войны, труда и спорта физкультурно-спортивных организаций Красноярского края на финансирование расходов, связанных с обеспечением участия ветеранов спорта Красноярского края в межрегиональных, всероссийских и международных спортивных соревнованиях среди ветеранов спорта, за исключением соревнований, являющихся физкультурными мероприятиями, включенными в Единый календарный план межрегиональных, всероссийских и международных физкультурных мероприятий и спортивных мероприятий
(В редакции Постановления Правительства Красноярского края от 16.09.2020 г. N 625-п)
Прошу предоставить субсидию Региональной общественной организации ветеранов войны, труда и спорта физкультурно-спортивных организаций Красноярского края на финансирование расходов, связанных с обеспечением участия ветеранов спорта Красноярского края в межрегиональных, всероссийских и международных спортивных соревнованиях среди ветеранов спорта, за исключением соревнований, являющихся физкультурными мероприятиями, включенными в Единый календарный план межрегиональных, всероссийских и международных физкультурных мероприятий и спортивных мероприятий (далее – Организация, субсидия).
Выражаю согласие на осуществление министерством спорта Красноярского края, службой финансово-экономического контроля и контроля в сфере закупок Красноярского края и Счетной палатой Красноярского края проверок соблюдения Организацией условий, цели и порядка предоставления субсидии.
Гарантирую:
что при заключении договоров (соглашений) в целях исполнения обязательств по соглашению о предоставлении субсидии на финансовое обеспечение затрат в качестве получателя субсидии, заключаемому с министерством спорта Красноярского края, Организация будет включать в них условие о согласии поставщиков (подрядчиков, исполнителей) на осуществление министерством спорта Красноярского края, службой финансово-экономического контроля и контроля в сфере закупок Красноярского края и Счетной палатой Красноярского края проверок соблюдения ими условий, цели и порядка предоставления субсидии;
достижение результата предоставления субсидии и достижение значения показателя результативности использования субсидии, устанавливаемое в соответствии с пунктом 2.12 Порядка определения объема и предоставления субсидии Региональной общественной организации ветеранов войны, труда и спорта физкультурно-спортивных организаций Красноярского края на финансирование расходов, связанных с обеспечением участия ветеранов спорта Красноярского края в межрегиональных, всероссийских и международных спортивных соревнованиях среди ветеранов спорта, за исключением соревнований, являющихся физкультурными мероприятиями, включенными в Единый календарный план межрегиональных, всероссийских и международных физкультурных мероприятий и спортивных мероприятий (далее – Порядок);
Организацией будет соблюдаться запрет приобретения за счет полученных средств, предоставленных в целях финансового обеспечения затрат Организации, иностранной валюты, за исключением операций, осуществляемых в соответствии с валютным законодательством Российской Федерации при закупке (поставке) высокотехнологичного импортного оборудования, сырья и комплектующих изделий, а также связанных с достижением целей предоставления указанных средств иных операций, определенных нормативными правовыми актами, муниципальными правовыми актами, регулирующими порядок предоставления субсидий некоммерческим организациям, не являющимся государственными (муниципальными) учреждениями;
заключение соглашения о предоставлении субсидии в редакции, представленной Организации министерством спорта Красноярского края, и его соблюдение;
осуществление расходования средств субсидии в соответствии с ее целевым назначением в соответствии с Порядком и соглашением о предоставлении субсидии.
Уведомление о принятом решении о предоставлении или об отказе в предоставлении субсидии, проект соглашения о предоставлении субсидии, а также проект дополнительного соглашения к соглашению о предоставлении субсидии прошу (нужное отметить знаком V с указанием реквизитов):
вручить лично, предварительно оповестив по телефону:_____________;
направить по почтовому адресу:_________________________________;
направить на адрес электронной почты:___________________________.
Сведения, необходимые для заключения соглашения о предоставлении субсидии:
1. Наименование Организации (полное и сокращенное):
_______________________________________________________________________________.
2. Основной государственный регистрационный номер Организации:
_______________________________________________________________________________.
3. Идентификационный номер налогоплательщика Организации:
_______________________________________________________________________________.
4. Код причины постановки на налоговый учет Организации:
_______________________________________________________________________________.
5. Местонахождение (юридический адрес) Организации:
_______________________________________________________________________________.
6. Адрес для переписки (почтовый адрес) Организации:
_______________________________________________________________________________.
7. Номер расчетного счета, открытого Организации в кредитной организации:
_______________________________________________________________________________.
8. Наименование кредитной организации, в которой Организации открыт расчетный счет:
_______________________________________________________________________________.
9. Корреспондентский счет кредитной организации, в которой Организации открыт расчетный счет:
_______________________________________________________________________________.
10. Банковский идентификационный код кредитной организации, в которой Организации открыт расчетный счет:
_______________________________________________________________________________.
__________________________________________ | ______________ | _______________________ |
(должность руководителя или уполномоченного лица) | (подпись) | (фамилия, инициалы) |
М.П. (при наличии)
"___" ___________________ 20__ года
Приложение N 2
к Порядку определения объема
и предоставления субсидии
Региональной общественной
организации ветеранов войны, труда
и спорта физкультурно-спортивных
организаций Красноярского края на
финансирование расходов, связанных
с обеспечением участия ветеранов спорта
Красноярского края в межрегиональных,
всероссийских и международных
спортивных соревнованиях среди
ветеранов спорта, за исключением
соревнований, являющихся
физкультурными мероприятиями,
включенными в Единый календарный
план межрегиональных, всероссийских
и международных физкультурных
мероприятий и спортивных мероприятий
(форма)
План расходования средств субсидии Региональной общественной организации ветеранов войны, труда и спорта физкультурно-спортивных организаций Красноярского края на финансирование расходов, связанных с обеспечением участия ветеранов спорта Красноярского края в межрегиональных, всероссийских и международных спортивных соревнованиях среди ветеранов спорта, за исключением соревнований, являющихся физкультурными мероприятиями, включенными в Единый календарный план межрегиональных, всероссийских и международных физкультурных мероприятий и спортивных мероприятий
N п/п | Наименование спортивного соревнования | Дата и место проведения | Количество участников (чел.) | Объем финансирования (руб.) | ||
всего | по направлениям расходования | |||||
наименование | размер | |||||
1 |
|
|
|
| проезд |
|
питание |
| |||||
проживание |
| |||||
страхование |
| |||||
организационный взнос |
| |||||
банковская комиссия |
| |||||
Итого |
|
| ||||
________________________________________ | ____________ | __________________________ |
(должность руководителя или уполномоченного лица) | (подпись) | (фамилия, инициалы) |
М.П. (при наличии)
"___" ___________________ 20__ года
Приложение N 3
к Порядку определения объема
и предоставления субсидии
Региональной общественной
организации ветеранов войны, труда
и спорта физкультурно-спортивных
организаций Красноярского края на
финансирование расходов, связанных
с обеспечением участия ветеранов спорта
Красноярского края в межрегиональных,
всероссийских и международных
спортивных соревнованиях среди
ветеранов спорта, за исключением
соревнований, являющихся
физкультурными мероприятиями,
включенными в Единый календарный
план межрегиональных, всероссийских
и международных физкультурных
мероприятий и спортивных мероприятий
(форма)
Отчет о достижении результата показателя результативности использования субсидии Региональной общественной организации ветеранов войны, труда и спорта физкультурно-спортивных организаций Красноярского края на финансирование расходов, связанных с обеспечением участия ветеранов спорта Красноярского края в межрегиональных, всероссийских и международных спортивных соревнованиях среди ветеранов спорта, за исключением соревнований, являющихся физкультурными мероприятиями, включенными в Единый календарный план межрегиональных, всероссийских
и международных физкультурных мероприятий и спортивных мероприятий
N п/п | Наименование показателя | Единица измерения по общероссийскому классификатору единиц измерения (ОКЕИ) | Плановое значение показателя | Достигнутое значение показателя по состоянию на отчетную дату | Процент выполнения плана | Причина отклонения | |
наименование | код | ||||||
1 | 2 | 3 | 4 | 5 | 6 | 7 | 8 |
1 |
|
|
|
|
|
|
|
Руководитель Получателя (уполномоченное лицо) |
__________________ (должность) |
_____________ (подпись) |
_____________________ (расшифровка подписи) |
Исполнитель |
__________________ (должность) |
_____________ (подпись) |
_____________________ (расшифровка подписи) |
Приложение N 4
к Порядку определения объема
и предоставления субсидии
Региональной общественной
организации ветеранов войны, труда
и спорта физкультурно-спортивных
организаций Красноярского края
на финансирование расходов, связанных
с обеспечением участия ветеранов спорта
Красноярского края в межрегиональных,
всероссийских и международных
спортивных соревнованиях среди
ветеранов спорта, за исключением
соревнований, являющихся
физкультурными мероприятиями,
включенными в Единый календарный
план межрегиональных, всероссийских
и международных физкультурных
мероприятий и спортивных мероприятий
(форма)
Согласие на обработку персональных данных
ветеранов спорта Красноярского края
_____________________________________________
(наименование организации, ФИО руководителя)
_____________________________________________
(ФИО ветерана спорта)
Я, _______________________________________________________________________,
(фамилия, имя, отчество)
руководствуясь статьей 9 Федерального закона от 27.07.2006 N 152-ФЗ "О персональных данных", выражаю свое согласие на обработку оператором – министерством спорта Красноярского края (660017, г. Красноярск, ул. Красной Армии, д. 3) следующих персональных данных, связанных с моим участием в межрегиональных, всероссийских и международных спортивных соревнованиях среди ветеранов спорта, за исключением соревнований, являющихся физкультурными мероприятиями, включенными в Единый календарный план межрегиональных, всероссийских и международных физкультурных мероприятий и спортивных мероприятий: фамилия, имя, отчество (при наличии), дата и место рождения, гражданство, об адресе места жительства или места пребывания, о паспорте или ином документе, удостоверяющем личность (серия, номер, кем и когда выдан), то есть на совершение любых действий (операций) или совокупности действий (операций), совершаемых с использованием средств автоматизации или без использования таких средств с персональными данными, включая сбор, запись, систематизацию, накопление, хранение, уточнение (обновление, изменение), извлечение, использование, передачу (распространение, предоставление, доступ), обезличивание, блокирование, удаление, уничтожение персональных данных.
Настоящее согласие на обработку персональных данных действует с даты подписания настоящего заявления до дня, следующего за днем получения оператором заявления в письменной форме об отзыве настоящего согласия.
Настоящее согласие на обработку персональных данных может быть отозвано на основании личного письменного заявления в произвольной форме.
_______________ | _________________________________________________ |
(дата) | (подпись заявителя) |
Приложение N 5 к Порядку определения объема и предоставления субсидии Региональной общественной организации ветеранов войны, труда и спорта физкультурно- спортивных организаций Красноярского края на финансирование расходов, связанных с обеспечением участия ветеранов спорта Красноярского края в межрегиональных, всероссийских и международных спортивных соревнованиях среди ветеранов спорта, за исключением соревнований, являющихся физкультурными мероприятиями, включенными в Единый календарный план межрегиональных, всероссийских и международных физкультурных мероприятий и спортивных мероприятий (форма)
Расчет размера возврата субсидии Региональной общественной организации ветеранов войны, труда и спорта физкультурно-спортивных организаций Красноярского края на финансирование расходов, связанных с обеспечением участия ветеранов спорта Красноярского края в межрегиональных, всероссийских и международных спортивных соревнованиях среди ветеранов спорта, за исключением соревнований, являющихся физкультурными мероприятиями, включенными в Единый календарный план межрегиональных, всероссийских и международных физкультурных мероприятий и спортивных мероприятий, в краевой бюджет в случае недостижения значения показателя ее результативности | ||||||||
N п/п | Наименование показателя | Единица измерения по общероссийскому классификатору единиц измерения (ОКЕИ) | Плановое значение показателя | Достигнутое значение показателя по состоянию 31 декабря года предоставления субсидии | Размер субсидии (руб.) | Размер возврата (руб.) ((1 – гр. 6/гр. 5) х гр. 7 – гр. 8)<*> | ||
наименование | код | в соответствии соглашением | остатков субсидии, не использованных по состоянию на 31 декабря года предоставления субсидии | |||||
1 | 2 | 3 | 4 | 5 | 6 | 7 | 8 | 9 |
1 |
|
|
|
|
|
|
|
|
____________________
<*> Размер возврата рассчитывается только при положительном значении.
