Постановление Правительства Красноярского края от 12.02.2020 N 97-п "Об утверждении Порядка предоставления и распределения субсидии бюджетам муниципальных образований Красноярского края на модернизацию и укрепление материально-технической базы муниципальных физкультурно-спортивных организаций и муниципальных образовательных организаций, осуществляющих деятельность в области физической культуры и спорта"
ПРАВИТЕЛЬСТВО КРАСНОЯРСКОГО КРАЯ
ПОСТАНОВЛЕНИЕ
12.02.2020 | г. Красноярск | N 97-п |
Об утверждении Порядка предоставления и распределения субсидии бюджетам муниципальных образований Красноярского края на модернизацию и укрепление материально-технической базы муниципальных физкультурно-спортивных организаций и муниципальных образовательных организаций, осуществляющих деятельность в области физической культуры и спорта
(В редакции Постановления Правительства Красноярского края
от 24.09.2020 г. N 656-п; от 12.11.2020 г. N 776-п)
В соответствии со статьей 139 Бюджетного кодекса Российской Федерации, статьей 103 Устава Красноярского края, пунктом 3 статьи 10 Закона Красноярского края от 10.07.2007 N 2-317 "О межбюджетных отношениях в Красноярском крае", постановлением Правительства Красноярского края от 30.09.2015 N 495-п "Об утверждении Правил формирования, предоставления и распределения субсидий из краевого бюджета бюджетам муниципальных образований Красноярского края" ПОСТАНОВЛЯЮ: (В редакции Постановления Правительства Красноярского края от 12.11.2020 г. N 776-п)
1. Утвердить Порядок предоставления и распределения субсидии бюджетам муниципальных образований Красноярского края на модернизацию и укрепление материально-технической базы муниципальных физкультурно-спортивных организаций и муниципальных образовательных организаций, осуществляющих деятельность в области физической культуры и спорта согласно приложению. (В редакции Постановления Правительства Красноярского края от 12.11.2020 г. N 776-п)
2. Опубликовать постановление на "Официальном интернет-портале правовой информации Красноярского края" (www.zakon.krskstate.ru).
3. Постановление вступает в силу в день, следующий за днем его официального опубликования.
Первый заместитель Губернатора края - председатель Правительства края | Ю.А. Лапшин |
Приложение
к постановлению Правительства
Красноярского края
от 12.02.2020 N 97-п
Порядок предоставления и распределения субсидии бюджетам муниципальных районов и городских округов Красноярского края на модернизацию и укрепление материально-технической базы муниципальных физкультурно-спортивных организаций и муниципальных образовательных организаций, осуществляющих деятельность в области физической культуры и спорта
(В редакции Постановления Правительства Красноярского края
от 24.09.2020 г. N 656-п; от 12.11.2020 г. N 776-п)
1. Настоящий Порядок предоставления и распределения субсидии бюджетам муниципальных образований Красноярского края на модернизацию и укрепление материально-технической базы муниципальных физкультурно-спортивных организаций и муниципальных образовательных организаций, осуществляющих деятельность в области физической культуры и спорта (далее – Порядок, субсидия, организации), определяет механизм предоставления и распределения субсидии. (В редакции Постановления Правительства Красноярского края от 12.11.2020 г. N 776-п)
2. Субсидии предоставляются бюджетам муниципальных районов, муниципальных округов, городских округов Красноярского края (далее также – муниципальные образования Красноярского края) из краевого бюджета в целях софинансирования расходных обязательств муниципальных образований Красноярского края по модернизации, укреплению материально-технической базы организаций, возникающих при выполнении полномочий органов местного самоуправления муниципальных образований Красноярского края по вопросам местного значения, предусмотренным пунктом 26 части 1 статьи 15, пунктом 19 части 1 статьи 16 Федерального закона от 06.10.2003 N 131-ФЗ "Об общих принципах организации местного самоуправления в Российской Федерации".
Субсидии бюджетам поселений Красноярского края из краевого бюджета предоставляются бюджету муниципального района Красноярского края, в состав которого входят соответствующие поселения Красноярского края, для их дальнейшего предоставления бюджетам поселений Красноярского края в целях софинансирования расходных обязательств поселений Красноярского края по модернизации, укреплению материально-технической базы организаций, возникающих при выполнении полномочий органов местного самоуправления поселений Красноярского края по вопросам местного значения, предусмотренным пунктом 14 части 1 статьи 14 Федерального закона от 06.10.2003 N 131-ФЗ "Об общих принципах организации местного самоуправления в Российской Федерации".
(Пункт в редакции Постановления Правительства Красноярского края от 12.11.2020 г. N 776-п)
3. Субсидии предоставляются в пределах средств, предусмотренных на эти цели законом Красноярского края о краевом бюджете на очередной финансовый год и плановый период.
4. Уполномоченным органом исполнительной власти Красноярского края по предоставлению субсидии является министерство спорта Красноярского края (далее – Министерство).
5. Субсидии предоставляются по результатам:
1) ежегодного конкурса по распределению субсидии (далее – конкурс);
2) повторного конкурса по распределению субсидии (далее – повторный конкурс) в случае увеличения объема субсидий, предусмотренного на эти цели законом Красноярского края о краевом бюджете на очередной финансовый год и плановый период или сводной бюджетной росписью краевого бюджета, после принятия постановления Правительства Красноярского края, указанного в абзаце первом пункта 14 Порядка.
6. Субсидии предоставляются при соблюдении следующих условий:
1) наличие в местном бюджете (сводной бюджетной росписи местного бюджета) Красноярского края бюджетных ассигнований на исполнение расходного обязательства по модернизации и (или) укреплению материально-технической базы организаций (в целях осуществления текущего ремонта объекта недвижимого имущества, для текущего ремонта которого на 2020 год истребуется субсидия, капитального ремонта объекта недвижимого имущества, для капитального ремонта которого истребуется субсидия, и (или) обустройства существующего плоскостного спортивного сооружения, для обустройства которого истребуется субсидия, и (или) на устройство нового плоскостного спортивного сооружения в городской местности, для устройства которого истребуется субсидия), в объеме, необходимом для его полного исполнения в году, на который истребуется субсидии, включая размер планируемой к предоставлению из краевого бюджета субсидии; (В редакции Постановления Правительства Красноярского края от 24.09.2020 г. N 656-п; от 12.11.2020 г. N 776-п)
2) истребование муниципальным образованием Красноярского края субсидии в объеме не более 5 миллионов рублей, а в случае истребования субсидии для устройства одновременно нового плоскостного спортивного сооружения в городской местности и обустройства плоскостного спортивного сооружения и (или) капитального ремонта объекта недвижимого имущества – не более 10 миллионов рублей; (В редакции Постановления Правительства Красноярского края от 12.11.2020 г. N 776-п)
3) истребование муниципальным образованием Красноярского края субсидии в отношении объектов имущества, удовлетворяющих следующим требованиям: (В редакции Постановления Правительства Красноярского края от 12.11.2020 г. N 776-п)
а) в случае истребования субсидии для осуществления капитального ремонта объекта недвижимого имущества:
такой объект должен принадлежать на праве оперативного управления организации, учредителем которой является соответствующий муниципальный округ, городской округ, муниципальный район Красноярского края или поселение Красноярского края, входящее в состав соответствующего муниципального района Красноярского края; (В редакции Постановления Правительства Красноярского края от 12.11.2020 г. N 776-п)
на осуществление капитального ремонта объекта недвижимого имущества должно иметься положительное заключение о достоверности определения сметной стоимости объекта капитального строительства в случае, если проверка сметной стоимости капитального ремонта объекта капитального строительства является обязательной в соответствии с пунктом 27.4 Положения об организации и проведении государственной экспертизы проектной документации и результатов инженерных изысканий, утвержденного постановлением Правительства Российской Федерации от 05.03.2007 N 145; (В редакции Постановления Правительства Красноярского края от 24.09.2020 г. N 656-п)
б) в случае истребования субсидии для осуществления обустройства существующего плоскостного спортивного сооружения:
плоскостное спортивное сооружение должно принадлежать на праве оперативного управления организации, учредителем которой является соответствующий муниципальный округ, городской округ, муниципальный район Красноярского края или поселение Красноярского края, входящее в состав соответствующего муниципального района Красноярского края; (В редакции Постановления Правительства Красноярского края от 12.11.2020 г. N 776-п)
тип плоскостного спортивного сооружения, для обустройства которого истребуется субсидия, должен соответствовать одному из типов плоскостных спортивных сооружений, указанных в абзаце девятом раздела III Указаний по заполнению формы федерального статистического наблюдения N 1-ФК "Сведения о физической культуре и спорте", утвержденных приказом Федеральной службы государственной статистики от 27.03.2019 N 172 "Об утверждении формы федерального статистического наблюдения с указаниями по ее заполнению для организации Министерством спорта Российской Федерации федерального статистического наблюдения в сфере физической культуры и спорта";
в) в случае истребования субсидии для устройства нового плоскостного спортивного сооружения в городской местности:
земельный участок, необходимый для устройства нового плоскостного спортивного сооружения, должен принадлежать на праве постоянного (бессрочного) пользования или находиться в безвозмездном пользовании у организации, учредителем которой является соответствующий муниципальный округ, городской округ, муниципальный район Красноярского края или поселение Красноярского края, входящее в состав соответствующего муниципального района Красноярского края; (В редакции Постановления Правительства Красноярского края от 12.11.2020 г. N 776-п)
абзац; (Исключен - Постановление Правительства Красноярского края от 12.11.2020 г. N 776-п)
тип плоскостного спортивного сооружения, для устройства которого истребуется субсидия, должен соответствовать одному из типов плоскостных спортивных сооружений, указанных в абзаце девятом раздела III Указаний по заполнению формы федерального статистического наблюдения N 1-ФК "Сведения о физической культуре и спорте", утвержденных приказом Федеральной службы государственной статистики от 27.03.2019 N 172 "Об утверждении формы федерального статистического наблюдения с указаниями по ее заполнению для организации Министерством спорта Российской Федерации федерального статистического наблюдения в сфере физической культуры и спорта";
абзац; (Исключен - Постановление Правительства Красноярского края от 24.09.2020 г. N 656-п)
в результате устройства нового плоскостного спортивного сооружения должно быть создано новое плоскостное спортивное сооружение; (В редакции Постановления Правительства Красноярского края от 24.09.2020 г. N 656-п)
4) гарантия муниципального образования Красноярского края обеспечить централизованное осуществление закупок товаров, работ, услуг для обеспечения муниципальных нужд, финансовое обеспечение которых осуществляется за счет субсидии, в соответствии с частью 7 статьи 26 Федерального закона от 05.04.2013 N 44-ФЗ "О контрактной системе в сфере закупок товаров, работ, услуг для обеспечения государственных и муниципальных нужд", за исключением случая истребования субсидии для модернизации и (или) укрепления материально-технической базы организации, являющейся муниципальным автономным учреждением, которая сама будет являться заказчиком при осуществлении закупки товаров, работ, услуг; (В редакции Постановления Правительства Красноярского края от 12.11.2020 г. N 776-п)
5) гарантия муниципального образования Красноярского края обеспечить достижение в результате использования субсидии устанавливаемых Министерством при заключении соглашения о предоставлении субсидии значений показателей результативности использования субсидии, указанных в пункте 16 Порядка; (В редакции Постановления Правительства Красноярского края от 12.11.2020 г. N 776-п)
6) (Утратил силу - Постановление Правительства Красноярского края от 24.09.2020 г. N 656-п)
7) заключение соглашения о предоставлении из краевого бюджета субсидии бюджету муниципального образования Красноярского края (далее – соглашение о предоставлении субсидии), предусматривающего обязательства муниципального района, городского округа Красноярского края по исполнению расходных обязательств, в целях софинансирования которых предоставляется субсидия, и ответственность за неисполнение предусмотренных указанным соглашением обязательств. (В редакции Постановления Правительства Красноярского края от 12.11.2020 г. N 776-п)
6.1. Предельный уровень софинансирования объема расходного обязательства муниципального образования Красноярского края по модернизации и (или) укреплению материально-технической базы организаций, определяемый в зависимости от уровня расчетной бюджетной обеспеченности муниципального образования Красноярского края после выравнивания, определенного в соответствии с приложением 3 к Закону Красноярского края от 10.07.2007 N 2-317 "О межбюджетных отношениях в Красноярском крае", составляет:
1) 90 % объема расходного обязательства муниципального образования Красноярского края – при уровне расчетной бюджетной обеспеченности, большем 1,75;
2) 93 % объема расходного обязательства муниципального образования Красноярского края – при уровне расчетной бюджетной обеспеченности, большем 1,46 и меньшем или равном 1,75;
3) 96 % объема расходного обязательства муниципального образования Красноярского края – при уровне расчетной бюджетной обеспеченности, большем 1,16 и меньшем или равном 1,46;
4) 99 % объема расходного обязательства муниципального образования Красноярского края – при уровне расчетной бюджетной обеспеченности, меньшем или равном 1,16.
В случае предоставления субсидии бюджету поселения Красноярского края установление размера долевого финансирования (в процентах) за счет бюджета поселения Красноярского края предусматривается с учетом уровня расчетной бюджетной обеспеченности муниципального района Красноярского края, в состав которого входит соответствующее поселение Красноярского края в соответствии с настоящим пунктом.
(Пункт дополнен - Постановление Правительства Красноярского края от 12.11.2020 г. N 776-п)
7. Для участия в конкурсе муниципальное образование Красноярского края в срок с 15 по 30 ноября года, предшествующего году предоставления субсидии, а в повторном конкурсе – в течение 7 рабочих дней со дня вступления в силу изменений в закон Красноярского края о краевом бюджете на очередной финансовый год и плановый период или сводную бюджетную роспись краевого бюджета об увеличении объема субсидий, предусмотренного на эти цели, представляет в Министерство (в том числе посредством почтового отправления) по адресу: 660017, г. Красноярск, ул. Красной Армии, 3, кабинет 3-01, или в электронной форме по адресу электронной почты: priem@minsport24.ru заявку на участие в конкурсе (повторном конкурсе) (далее – заявка) по форме согласно приложению N 1 к Порядку с прилагаемыми к ней документами: (В редакции Постановления Правительства Красноярского края от 12.11.2020 г. N 776-п)
1) выпиской из реестра муниципального имущества в отношении существующего плоскостного спортивного сооружения, не являющегося объектом недвижимого имущества, закрепленного на праве оперативного управления за организацией (в случае истребования субсидии для обустройства существующего плоскостного спортивного сооружения);
2) выпиской из реестра муниципального имущества в отношении земельного участка, предоставленного на праве безвозмездного пользования организации, на котором планируется устройство нового плоскостного спортивного сооружения в городской местности (в случае истребования субсидии для устройства нового плоскостного спортивного сооружения в городской местности) в соответствии с абзацами вторым, третьим подпункта "в" подпункта 3 пункта 6 Порядка;
3) (Утратил силу - Постановление Правительства Красноярского края от 24.09.2020 г. N 656-п)
4) (Утратил силу - Постановление Правительства Красноярского края от 24.09.2020 г. N 656-п)
5) копией положительного заключения о достоверности определения сметной стоимости объекта капитального строительства (в случае истребования субсидии для осуществления капитального ремонта объекта недвижимого имущества, если проверка сметной стоимости капитального ремонта объекта капитального строительства является обязательной в соответствии с абзацем третьим подпункта "а" подпункта 3 пункта 6 Порядка); (В редакции Постановления Правительства Красноярского края от 24.09.2020 г. N 656-п)
6) документами, подтверждающими полномочия лица на подписание заявки от имени соответствующего муниципального образования Красноярского края (в случае, если заявка подписывается лицом, не являющимся главой или главой администрации муниципального района, городского округа Красноярского края); (В редакции Постановления Правительства Красноярского края от 12.11.2020 г. N 776-п)
7) справкой администрации муниципального образования Красноярского края о характеристиках плоскостного спортивного сооружения (в случае истребования субсидии для обустройства существующего плоскостного спортивного сооружения и (или) устройства нового плоскостного спортивного сооружения в городской местности), содержащей следующие сведения: (В редакции Постановления Правительства Красноярского края от 12.11.2020 г. N 776-п)
а) тип плоскостного спортивного сооружения, соответствующий одному из типов плоскостных спортивных сооружений, указанных в абзаце девятом раздела III Указаний по заполнению формы федерального статистического наблюдения N 1-ФК "Сведения о физической культуре и спорте", утвержденных приказом Федеральной службы государственной статистики от 27.03.2019 N 172 "Об утверждении формы федерального статистического наблюдения с указаниями по ее заполнению для организации Министерством спорта Российской Федерации федерального статистического наблюдения в сфере физической культуры и спорта";
б) назначение плоскостного спортивного сооружения;
в) размеры (м) и площадь (кв.м) плоскостного спортивного сооружения;
г) единовременная пропускная способность плоскостного спортивного сооружения (чел.), рассчитанная в соответствии Методическими рекомендациями о применении нормативов и норм при определении потребности субъектов Российской Федерации в объектах физической культуры и спорта, утвержденными приказом Министерства спорта Российской Федерации от 21.03.2018 N 244.
Копии документов, не заверенные выдавшей их организацией, должностным лицом или нотариально, представляются с предъявлением подлинника документа для сверки копии с подлинником.
Муниципальным образованием Красноярского края подается одна заявка, за исключением случая, указанного в абзаце пятнадцатом настоящего пункта. (В редакции Постановления Правительства Красноярского края от 12.11.2020 г. N 776-п)
В случае истребования субсидии муниципального района Красноярского края; муниципальные округа Красноярского края в отношении нескольких объектов имущества, расположенных как в сельской, так и в городской местности, подаются две заявки: одна – в отношении объектов имущества, расположенных в сельской местности, вторая – в отношении объектов имущества, расположенных в городской местности. (В редакции Постановления Правительства Красноярского края от 12.11.2020 г. N 776-п)
Под сельской местностью (для целей предоставления субсидии) понимаются сельские поселения или сельские поселения и межселенные территории, объединенные общей территорией в границах муниципального района Красноярского края; муниципальные округа Красноярского края; сельские населенные пункты, поселки городского типа и городские поселки, входящие в состав городских поселений или городских округов Красноярского края, на территории которых преобладает деятельность, связанная с производством и переработкой сельскохозяйственной продукции, включенные в перечень, утвержденный приказом министерства сельского хозяйства и продовольственной политики Красноярского края от 15.07.2014 N 394-о; городские поселения и городские округа Красноярского края с численностью населения не более 50 тысяч человек. Под городской местностью (для целей предоставления субсидии) понимается местность, не являющаяся сельской. (В редакции Постановления Правительства Красноярского края от 12.11.2020 г. N 776-п)
Заявки на участие в повторном конкурсе подаются муниципальными образованиями Красноярского края, бюджетам которых не распределены субсидии в соответствии с постановлением Правительства Красноярского края, указанным в абзаце первом пункта 14 Порядка. (В редакции Постановления Правительства Красноярского края от 12.11.2020 г. N 776-п)
В случае представления заявки в электронной форме она подписывается с использованием усиленной квалифицированной электронной подписи уполномоченного на подписание заявки должностного лица в соответствии с Федеральным законом от 06.04.2011 N 63-ФЗ "Об электронной подписи".
При поступлении заявки в электронной форме Министерство в день поступления заявки осуществляет проверку действительности усиленной квалифицированной электронной подписи уполномоченного на подписание заявки должностного лица, с использованием которой подписан электронный документ (пакет электронных документов) об участии в конкурсе (повторном конкурсе), предусматривающую проверку соблюдения условий, указанных в статье 11 Федерального закона от 06.04.2011 N 63-ФЗ "Об электронной подписи".
В случае если в результате проверки усиленной квалифицированной подписи будет выявлено несоблюдение установленных условий признания ее действительности, Министерство в течение 3 дней со дня завершения проведения такой проверки принимает решение об отказе в приеме к рассмотрению заявки и прилагаемых документов и направляет соответствующему муниципальному образованию Красноярского края уведомление об этом в электронной форме по электронной почте, указанной в заявлении, с указанием пунктов статьи 11 Федерального закона от 06.04.2011 N 63-ФЗ "Об электронной подписи", которые послужили основанием для принятия указанного решения. (В редакции Постановления Правительства Красноярского края от 12.11.2020 г. N 776-п)
8. Поступившие заявки регистрируются Министерством в день поступления в журнале регистрации заявок. В случае если заявки поступили в Министерством в форме электронного документа в нерабочее время, в том числе в нерабочий праздничный или выходной день, то они регистрируются Министерством в первый рабочий день, следующий за днем их поступления. Запись регистрации должна включать регистрационный номер заявки, дату, время приема заявки.
Заявки и прилагаемые к ним документы, поступившие позднее установленного в пункте 7 Порядка срока, а также заявки на участие в повторном конкурсе муниципальных образований Красноярского края, бюджетам которых распределены субсидии в соответствии с постановлением Правительства Красноярского края, указанным в абзаце первом пункта 14 Порядка, и прилагаемые к ним документы не рассматриваются и не возвращаются соответствующему муниципальному образованию Красноярского края. (В редакции Постановления Правительства Красноярского края от 12.11.2020 г. N 776-п)
9. В целях рассмотрения заявки Министерство в день, следующий за днем окончания срока подачи заявок, запрашивает выписки из Единого государственного реестра недвижимости в отношении объектов недвижимости, в том числе земельных участков, кадастровые номера которых указаны в заявках.
Министерство осуществляет рассмотрение заявок на участие в конкурсе в срок не позднее 20 рабочих дней со дня, следующего за днем окончания срока подачи заявок, заявок на участие в повторном конкурсе – не позднее 5 рабочих дней со дня, следующего за днем окончания срока подачи заявок, после чего принимает решение о допуске или отказе в допуске заявок к участию соответственно в конкурсе, повторном конкурсе.
Итоги рассмотрения заявок оформляются приказом Министерства в срок, указанный в абзаце первом настоящего пункта.
10. Отказ в допуске заявки к участию в конкурсе (повторном конкурсе) осуществляется по следующим основаниям:
1) представление муниципальным образованием Красноярского края заявки, не соответствующей форме, установленной приложением N 1 к Порядку; (В редакции Постановления Правительства Красноярского края от 12.11.2020 г. N 776-п)
2) представление муниципальным образованием Красноярского края неполного пакета документов, указанных в пункте 7 Порядка; (В редакции Постановления Правительства Красноярского края от 12.11.2020 г. N 776-п)
3) истребование субсидии на модернизацию и (или) укрепление материально-технической базы одной или нескольких организаций, не являющихся муниципальными физкультурно-спортивными организациями и (или) муниципальными образовательными организациями, осуществляющими деятельность в области физической культуры и спорта, созданными соответствующим муниципальным округом, городским округом, муниципальным районом Красноярского края или поселением Красноярского края, входящим в состав соответствующего муниципального района Красноярского края; (В редакции Постановления Правительства Красноярского края от 12.11.2020 г. N 776-п)
3.1) несоответствие заявленного муниципальным образованием Красноярского края уровня софинансирования объема расходного обязательства муниципального образования Красноярского края по устройству плоскостных спортивных сооружений в сельской местности из краевого бюджета предельному уровню софинансирования объема такого расходного обязательства из краевого бюджета, указанному в пункте 6.1 Порядка; (Дополнен - Постановление Правительства Красноярского края от 12.11.2020 г. N 776-п)
4) несоответствие одному или нескольким условиям предоставления субсидии, указанным в подпунктах 2–5 пункта 6 Порядка; (В редакции Постановления Правительства Красноярского края от 24.09.2020 г. N 656-п)
5) наличие в документах, представленных муниципальным образованием Красноярского края на конкурс (повторный конкурс), неполных или недостоверных сведений; (В редакции Постановления Правительства Красноярского края от 12.11.2020 г. N 776-п)
6) представление муниципальным образованием Красноярского края более одной заявки, а в случае, указанном в абзаце пятнадцатом пункта 7 Порядка, – более двух заявок; (В редакции Постановления Правительства Красноярского края от 12.11.2020 г. N 776-п)
7) истребование субсидии в одной заявке одновременно в отношении объектов имущества, расположенных как в сельской, так и в городской местности.
Решение об отказе в допуске к участию в конкурсе (повторном конкурсе) должно содержать указание на причины отказа.
11. В течение 3 рабочих дней со дня издания приказа Министерства, указанного в абзаце третьем пункта 9 Порядка, Министерство обеспечивает его размещение на едином краевом портале "Красноярский край" с адресом в информационно-телекоммуникационной сети Интернет: www.krskstate.ru.
Заявки, в отношении которых принято решение об отказе в допуске к участию в конкурсе (повторном конкурсе), муниципальным образованиям Красноярского края не возвращаются. (В редакции Постановления Правительства Красноярского края от 12.11.2020 г. N 776-п)
(Пункт в редакции Постановления Правительства Красноярского края от 24.09.2020 г. N 656-п)
12. Оценка заявок, допущенных к участию в конкурсе, осуществляется Министерством в срок не позднее 20 рабочих дней со дня, следующего за днем принятия приказа Министерства, указанного в абзаце третьем пункта 9 Порядка, к участию в повторном конкурсе – не позднее 5 рабочих дней со дня, следующего за днем принятия приказа Министерства, указанного в абзаце третьем пункта 9 Порядка, на основании следующих критериев отбора муниципальных образований Красноярского края для предоставления субсидии: (В редакции Постановления Правительства Красноярского края от 12.11.2020 г. N 776-п)
1) прирост доли граждан, проживающих в муниципальном образовании Красноярского края, систематически занимающихся физической культурой и спортом, в общей численности населения муниципального образования Красноярского края в году, предшествующем году подачи заявки, в сравнении с предыдущим, исчисленным в соответствии с Методикой расчета показателя "Доля граждан, систематически занимающихся физической культурой и спортом" национального проекта "Демография" и показателей федерального проекта "Спорт – норма жизни", утвержденной приказом Министерства спорта Российской Федерации от 19.04.2019 N 324, на основании сведений, представленных органом местного самоуправления в области физической культуры и спорта в Министерство в соответствии с приказом Федеральной службы государственной статистики от 27.03.2019 N 172 "Об утверждении формы федерального статистического наблюдения с указаниями по ее заполнению для организации Министерством спорта Российской Федерации федерального статистического наблюдения в сфере физической культуры и спорта": (В редакции Постановления Правительства Красноярского края от 24.09.2020 г. N 656-п; от 12.11.2020 г. N 776-п)
а) не более 1,0 % – 1 балл;
б) более 1,0 % и не более 2,0 % – 2 балла;
в) более 2,0 % и не более 3,0 % – 3 балла;
г) более 3,0 % и не более 4,0 % – 4 балла;
д) более 4,0 % – 5 баллов;
2) обеспеченность объектами спорта на территории муниципального образования Красноярского края: (В редакции Постановления Правительства Красноярского края от 12.11.2020 г. N 776-п)
а) не более 35 % –1 балл;
б) более 35 % и не более 50 % – 2 балла;
в) более 50 % и не более 65 % – 3 балла;
г) более 65 % – 4 балла.
Обеспеченность объектами спорта на территории муниципального образования Красноярского края рассчитывается по формуле: (В редакции Постановления Правительства Красноярского края от 12.11.2020 г. N 776-п)
ОСС = ЕПСфакт / ЕПСнорм x 100 %,
где:
ОСС – обеспеченность объектами спорта на территории муниципального образования Красноярского края; (В редакции Постановления Правительства Красноярского края от 12.11.2020 г. N 776-п)
ЕПСфакт – единовременная пропускная способность физкультурно-спортивных сооружений муниципального образования Красноярского края в соответствии с данными годовой формы федерального статистического наблюдения N 1-ФК "Сведения о физической культуре и спорте" (графа 11 строки 37 раздела III), представленными органом местного самоуправления в области физической культуры и спорта в Министерство в соответствии с приказом Федеральной службы государственной статистики от 27.03.2019 N 172 "Об утверждении формы федерального статистического наблюдения с указаниями по ее заполнению для организации Министерством спорта Российской Федерации федерального статистического наблюдения в сфере физической культуры и спорта", за год, предшествующий году подачи заявки; (В редакции Постановления Правительства Красноярского края от 12.11.2020 г. N 776-п)
ЕПСнорм – нормативная единовременная пропускная способность физкультурно-спортивных сооружений в муниципальном образовании Красноярского края в соответствии с Методическими рекомендациями о применении нормативов и норм при определении потребности субъектов Российской Федерации в объектах физической культуры и спорта, утвержденными приказом Министерства спорта Российской Федерации от 21.03.2018 N 244, равная 12,2% численности населения муниципального образования Красноярского края в возрасте от 3 до 79 лет по состоянию на 1 января года, предшествующего году подачи заявки. (В редакции Постановления Правительства Красноярского края от 24.09.2020 г. N 656-п; от 12.11.2020 г. N 776-п)
3) истребование городским округом Красноярского края субсидии для устройства плоскостного спортивного сооружения в городской местности:
а) в заявке истребуется субсидия одновременно в целях устройства нового плоскостного спортивного сооружения в городской местности и обустройства плоскостного спортивного сооружения или капитального ремонта объекта недвижимого имущества – 1 балл;
б) в заявке истребуется субсидия только в целях устройства нового плоскостного спортивного сооружения в городской местности – 3 балла.
(Подпункт дополнен - Постановление Правительства Красноярского края от 24.09.2020 г. N 656-п)
13. По итогам оценки заявок в срок, указанный в абзаце первом пункта 12 Порядка, Министерство формирует предложения о распределении субсидий в виде рейтинга заявок, набравших количество баллов от наибольшего к наименьшему (далее – рейтинг), по форме согласно приложению N 2 к Порядку и направляет их в Правительство Красноярского края в качестве приложения к пояснительной записке к проекту постановления Правительства Красноярского края, указанного в абзаце первом пункта 14 Порядка (по результатам конкурса), в абзаце втором пункта 14 Порядка (по результатам повторного конкурса).
Предложения о распределении субсидии формируются раздельно для заявок об истребовании субсидии в отношении объектов имущества, расположенных в сельской местности, и заявок об истребовании субсидии в отношении объектов имущества, расположенных в городской местности.
При равенстве итоговых баллов приоритет отдается заявкам, поступившим ранее других.
Предложения о распределении субсидии готовятся в соответствии со следующей методикой распределения субсидий между муниципальными образованиями Красноярского края:
Vсуб.i = Vсуб.i(сел.) + Vсуб.i(гор.),
где:
Vсуб.i – объем субсидии, предоставляемой бюджету муниципального образования Красноярского края. (В редакции Постановления Правительства Красноярского края от 12.11.2020 г. N 776-п)

где:
Vсуб.i(сел.) – объем субсидии, предоставляемой бюджету муниципального образования Красноярского края (в отношении объектов имущества, расположенных в сельской местности), заявка которого занимает i-тую позицию в части рейтинга заявок в отношении объектов имущества в сельской местности; (В редакции Постановления Правительства Красноярского края от 12.11.2020 г. N 776-п)
Vсуб.сел.(норм.) – 40 % (в 2020 году), 20 % (в 2021 году и последующие годы) общего объема субсидий, предусмотренного законом Красноярского края о краевом бюджете на очередной финансовый год и плановый период, подлежащий распределению в текущем финансовом году (при проведении распределения по итогам конкурса); 40 % (в 2020 году), 20 % (в 2021 году и последующие годы) разницы между общим объемом субсидий, предусмотренным законом Красноярского края о краевом бюджете на очередной финансовый год и плановый период, подлежащим распределению в текущем финансовом году, и объемом субсидий, распределенным бюджетам муниципальных образований Красноярского края в соответствии с постановлением Правительства Красноярского края, указанным в абзаце первом пункта 14 Порядка (при проведении распределения по итогам повторного конкурса); (В редакции Постановления Правительства Красноярского края от 24.09.2020 г. N 656-п; от 12.11.2020 г. N 776-п)
Vсуб.гор.(ост.) – нераспределенный объем субсидий в отношении объектов имущества, расположенных в городской местности (в случае наличия);
Vистр.(сел.)m – объем финансирования согласно заявке, необходимый на модернизацию и (или) укрепление материально-технической базы организаций, созданных соответствующим муниципальным округом, городским округом, муниципальным районом Красноярского края или поселением Красноярского края, входящим в состав соответствующего муниципального района Красноярского края Красноярского края, за счет средств субсидии и средств бюджета муниципального образования Красноярского края, заявка которого занимает в части рейтинга заявок в отношении объектов имущества в сельской местности позицию от первой до предшествующей i-той позиции; (В редакции Постановления Правительства Красноярского края от 12.11.2020 г. N 776-п)
Vдол.РБО.m – размер долевого финансирования за счет средств местного бюджета расходов на модернизацию и (или) укрепление материально-технической базы организаций, созданных соответствующим муниципальным округом, городским округом, муниципальным районом Красноярского края или поселением Красноярского края, входящим в состав соответствующего муниципального района Красноярского края Красноярского края, определенный в зависимости от уровня расчетной бюджетной обеспеченности муниципального образования Красноярского края после выравнивания, заявка которого занимает в части рейтинга заявок в отношении объектов имущества в сельской местности позицию от первой до предшествующей i-той позиции; (В редакции Постановления Правительства Красноярского края от 12.11.2020 г. N 776-п)
Vсуб.сел.n – объем субсидии, предоставляемой бюджету муниципального образования Красноярского края, заявка которого занимает в части рейтинга заявок в отношении объектов имущества в сельской местности позицию от следующей за i-той позицией до последней; (В редакции Постановления Правительства Красноярского края от 12.11.2020 г. N 776-п)
i(fin сел.) – последняя позиция в части рейтинга заявок в отношении объектов имущества в сельской местности.

где:
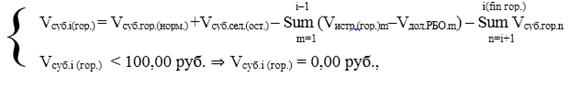
Vсуб.i(гор.) – объем субсидии, предоставляемой бюджету муниципального образования Красноярского края (в отношении объектов имущества, расположенных в городской местности), заявка которого занимает i-тую позицию в части рейтинга заявок в отношении объектов имущества в городской местности; (В редакции Постановления Правительства Красноярского края от 12.11.2020 г. N 776-п)
Vсуб.гор.(норм.) – 60 % (в 2020 году), 80 % (в 2021 году и последующие годы) общего объема субсидий, предусмотренного законом Красноярского края о краевом бюджете на очередной финансовый год и плановый период, подлежащий распределению в текущем финансовом году (при проведении распределения по итогам конкурса); 60 % (в 2020 году), 80% (в 2021 году и последующие годы) разницы между общим объемом субсидий, предусмотренным законом Красноярского края о краевом бюджете на очередной финансовый год и плановый период, подлежащим распределению в текущем финансовом году, и объемом субсидий, распределенным бюджетам муниципальных образований Красноярского края в соответствии с постановлением Правительства Красноярского края, указанным в абзаце первом пункта 14 Порядка (при проведении распределения по итогам повторного конкурса); (В редакции Постановления Правительства Красноярского края от 24.09.2020 г. N 656-п; от 12.11.2020 г. N 776-п)
Vсуб.сел.(ост.) – нераспределенный объем субсидий в отношении объектов имущества, расположенных в сельской местности (в случае наличия);
Vистр.(гор.)m – объем финансирования согласно заявке, необходимый на модернизацию и (или) укрепление материально-технической базы организаций, созданных соответствующим муниципальным округом, городским округом, муниципальным районом Красноярского края или поселением Красноярского края, входящим в состав соответствующего муниципального района Красноярского края Красноярского края, за счет средств субсидии и средств бюджета муниципального образования Красноярского края, заявка которого занимает в части рейтинга заявок в отношении объектов имущества в городской местности позицию от первой до предшествующей i-той позиции; (В редакции Постановления Правительства Красноярского края от 12.11.2020 г. N 776-п)
Vдол.РБО.m – размер долевого финансирования за счет средств местного бюджета расходов на модернизацию и (или) укрепление материально-технической базы организаций, созданных соответствующим муниципальным округом, городским округом, муниципальным районом Красноярского края или поселением Красноярского края, входящим в состав соответствующего муниципального района Красноярского края Красноярского края, определенный в зависимости от уровня расчетной бюджетной обеспеченности муниципального образования Красноярского края после выравнивания, заявка которого занимает в части рейтинга заявок в отношении объектов имущества в городской местности позицию от первой до предшествующей i-той позиции; (В редакции Постановления Правительства Красноярского края от 12.11.2020 г. N 776-п)
Vсуб.гор.n – объем субсидии, предоставляемой бюджету муниципального образования Красноярского края, заявка которого занимает в части рейтинга заявок в отношении объектов имущества в городской местности позицию от следующей за i-той позицией до последней; (В редакции Постановления Правительства Красноярского края от 12.11.2020 г. N 776-п)
i(fin гор.) – последняя позиция в части рейтинга заявок в отношении объектов имущества в городской местности.
При подготовке предложений о распределении субсидии объем субсидии округляется в меньшую сторону до полной сотни рублей. Остаток относится на долевое финансирование соответствующего местного бюджета.
14. Распределение субсидий бюджетам муниципальных образований Красноярского края по результатам конкурса утверждается постановлением Правительства Красноярского края с учетом предложений Министерства о распределении субсидий в течение 30 рабочих дней со дня направления Министерством предложений о распределении субсидий в Правительство Красноярского края. (В редакции Постановления Правительства Красноярского края от 12.11.2020 г. N 776-п)
Распределение субсидий бюджетам муниципальных районов и (или) городских округов Красноярского края по результатам повторного конкурса утверждается постановлением Правительства Красноярского края о внесении изменений в постановление Правительства Красноярского края, указанного в абзаце первом настоящего пункта, с учетом предложений Министерства о распределении субсидий в течение 18 рабочих дней со дня направления Министерством предложений о распределении субсидий в Правительство Красноярского края.
15. Субсидии предоставляются на основании соглашения о предоставлении субсидии, заключаемого между Министерством и местной администрацией муниципального района, муниципального округа, городского округа Красноярского края в течение 20 рабочих дней со дня вступления в силу постановления Правительства Красноярского края, указанного в абзаце первом пункта 14 Порядка, а при проведении повторного конкурса – в течение 5 рабочих дней со дня вступления в силу постановления Правительства Красноярского края, указанного в абзаце втором пункта 14 Порядка, но не позднее 15 мая года предоставления субсидии, за исключением случая, указанного в абзаце втором настоящего пункта, при условии представления местной администрацией муниципального образования Красноярского края выписки из решения о местном бюджете (сводной бюджетной росписи местного бюджета) соответствующего муниципального района (поселения Красноярского края в случае предоставления субсидии бюджету поселения Красноярского края, входящего в состав соответствующего муниципального района), муниципального округа, городского округа Красноярского края с указанием сумм расходов по разделам, подразделам, целевым статьям и видам расходов бюджетной классификации Российской Федерации, подтверждающей наличие в местном бюджете бюджетных ассигнований на исполнение расходного обязательства по модернизации и (или) укреплению материально-технической базы организаций, в объеме, необходимом для его полного исполнения в году истребования субсидии, включая размер планируемой к предоставлению из краевого бюджета субсидии. (В редакции Постановления Правительства Красноярского края от 12.11.2020 г. N 776-п)
В случае, предусмотренном абзацем третьим пункта 20 Правил формирования, предоставления и распределения субсидий из краевого бюджета бюджетам муниципальных образований Красноярского края, утвержденных постановлением Правительства Красноярского края от 30.09.2015 N 495-п (далее – Правила), соглашение о предоставлении субсидии заключается в срок, указанный в абзаце первом настоящего пункта, но не позднее срока, указанного в абзаце третьем пункта 20 Правил.
16. Перечень показателей результативности использования субсидии:
1) прирост доли граждан, проживающих в муниципальном районе, муниципальном округе, городском округе Красноярского края, систематически занимающихся физической культурой и спортом, в общей численности населения муниципального района, муниципального округа, городского округа Красноярского края в году предоставления субсидии в сравнении с предшествующим годом;
2) прирост обеспеченности объектами спорта на территории муниципального района, муниципального округа, городского округа Красноярского края в году предоставления субсидии в сравнении с предшествующим годом (только в случае истребования субсидии для устройства нового плоскостного спортивного сооружения в городской местности). (В редакции Постановления Правительства Красноярского края от 12.11.2020 г. N 776-п)
17. Расходование средств субсидии производится для осуществления капитального ремонта объектов недвижимого имущества, закрепленных на праве оперативного управления за организациями, и (или) на обустройство существующих плоскостных спортивных сооружений, закрепленных на праве оперативного управления за организациями, и (или) на устройство новых плоскостных спортивных сооружений в городской местности для организаций, которым на праве постоянного (бессрочного) пользования принадлежит или у которых в безвозмездном пользовании находится необходимый для этого земельный участок. (В редакции Постановления Правительства Красноярского края от 24.09.2020 г. N 656-п)
Под плоскостными спортивными сооружениями понимаются спортивные сооружения, перечисленные в абзаце девятом раздела III Указаний по заполнению формы федерального статистического наблюдения N 1-ФК "Сведения о физической культуре и спорте", утвержденных приказом Федеральной службы государственной статистики от 27.03.2019 N 172 "Об утверждении формы федерального статистического наблюдения с указаниями по ее заполнению для организации Министерством спорта Российской Федерации федерального статистического наблюдения в сфере физической культуры и спорта".
18. Перечисление субсидии осуществляется Министерством в соответствии со сводной бюджетной росписью краевого бюджета в пределах лимитов бюджетных обязательств, предусмотренных Министерству, и объемов финансирования, предусмотренных графиком финансирования, являющимся приложением к соглашению о предоставлении субсидии, на счет соответствующего территориального органа Федерального казначейства, открытый для учета поступлений и их распределения между бюджетами бюджетной системы Российской Федерации, для последующего перечисления в местный бюджет в доле, соответствующей уровню софинансирования расходного обязательства муниципального образования Красноярского края, установленному соглашением о предоставлении субсидии, в течение 20 рабочих дней со дня представления местной администрацией соответствующего муниципального района, городского округа Красноярского края с сопроводительным письмом следующих документов: (В редакции Постановления Правительства Красноярского края от 12.11.2020 г. N 776-п)
1) в случае представления документов в период по 30 ноября текущего года:
а) копий муниципальных контрактов, договоров на поставку товаров, выполнение работ, оказание услуг;
б) копий документов, подтверждающих основание заключения муниципальных контрактов, договоров на поставку товаров, выполнение работ, оказание услуг в соответствии с действующим законодательством Российской Федерации;
в) копий актов о приемке выполненных работ (форма КС-2) и справок о стоимости выполненных работ и затрат (форма КС-3) – при оплате строительно-монтажных работ, копий актов выполненных работ (оказанных услуг) – при оплате иных работ (услуг), копий счетов-фактур, накладных – при оплате товаров;
2) в случае представления документов после 30 ноября текущего года – документов, указанных в подпунктах "а", "б" подпункта 1 настоящего пункта.
В случае представления указанных документов после 30 ноября текущего года перечисление субсидии осуществляется в срок не позднее 25 декабря текущего года.
19. Отчетность об исполнении условий, целей и порядка, установленных при предоставлении субсидии (отчет о расходах, в целях софинансирования которых предоставлена субсидия, отчет о достижении значений показателей результативности использования субсидии), представляется местной администрацией соответствующего муниципального района, муниципального округа, городского округа Красноярского края в Министерство в срок не позднее 20 февраля года, следующего за годом предоставления субсидии, по форме, являющейся приложением к соглашению о предоставлении субсидии. (В редакции Постановления Правительства Красноярского края от 12.11.2020 г. N 776-п)
Факт достижения показателей результативности использования субсидии устанавливается:
1) в отношении указанного в подпункте 1 пункта 16 Порядка – путем определения разницы долей граждан, проживающих в муниципальном районе, муниципальном округе, городском округе Красноярского края, систематически занимающихся физической культурой и спортом, в общей численности населения муниципального района, муниципального округа, городского округа Красноярского края за отчетный год и предшествующий ему год, исчисленных в соответствии с Методикой расчета показателя "Доля граждан, систематически занимающихся физической культурой и спортом" национального проекта "Демография" и показателей федерального проекта "Спорт – норма жизни", утвержденной приказом Министерства спорта Российской Федерации от 19.04.2019 N 324, на основании сведений, представленных органом местного самоуправления в области физической культуры и спорта в Министерство в соответствии с приказом Федеральной службы государственной статистики от 27.03.2019 N 172 "Об утверждении формы федерального статистического наблюдения с указаниями по ее заполнению для организации Министерством спорта Российской Федерации федерального статистического наблюдения в сфере физической культуры и спорта"; (В редакции Постановления Правительства Красноярского края от 12.11.2020 г. N 776-п)
2) в отношении указанного в подпункте 2 пункта 16 Порядка – путем определения разницы обеспеченности объектами спорта на территории соответствующего муниципального района, муниципального округа, городского округа Красноярского края, рассчитанной за отчетный год и предшествующий ему год в соответствии с подпунктом 3 пункта 12 Порядка на основании данных о единовременной пропускной способности физкультурно-спортивных сооружений соответствующего муниципального района, городского округа Красноярского края, содержащихся в графе 11 строки 37 раздела III соответствующих годовых форм федерального статистического наблюдения N 1-ФК "Сведения о физической культуре и спорте", представленных органом местного самоуправления в области физической культуры и спорта соответствующего муниципального района, городского округа Красноярского края в Министерство в соответствии с приказом Федеральной службы государственной статистики от 27.03.2019 N 172 "Об утверждении формы федерального статистического наблюдения с указаниями по ее заполнению для организации Министерством спорта Российской Федерации федерального статистического наблюдения в сфере физической культуры и спорта", деленной на численность населения соответствующего муниципального района, городского округа Красноярского края в возрасте от 3 до 79 лет по состоянию на 1 января соответствующих лет. (В редакции Постановления Правительства Красноярского края от 12.11.2020 г. N 776-п)
(Пункт в редакции Постановления Правительства Красноярского края от 24.09.2020 г. N 656-п)
Приложение N 1
к Порядку предоставления и распределения
субсидии бюджетам муниципальных образований
Красноярского края на модернизацию
и укрепление материально-технической базы
муниципальных физкультурно-спортивных
организаций и муниципальных образовательных
организаций, осуществляющих деятельность
в области физической культуры и спорта
(форма)
Заявка
на участие в _________________________ по распределению субсидии на модернизацию и укрепление
(конкурсе или повторном конкурсе)
материально-технической базы муниципальных физкультурно-спортивных организаций и муниципальных образовательных организаций, осуществляющих деятельность в области физической культуры и спорта
(В редакции Постановления Правительства Красноярского края от 12.11.2020 г. N 776-п)
Прошу рассмотреть документы________________________________________________________________________________________
(наименование муниципального района, муниципального округа, городского округа Красноярского края)
и предоставить субсидию на модернизацию и укрепление материально-технической базы муниципальных физкультурно-спортивных организаций и муниципальных образовательных организаций, осуществляющих деятельность в области физической культуры и спорта (далее – субсидия), местному бюджету.
Заявка подается в отношении объектов имущества, расположенных в _________________ местности.
(сельская или городская)
Таблица <*>
N п/п | Сведения об объектах | Объем расходного обязательства (руб.) | ||||||||||||
n | Полное наименование муниципальной физкультурно-спортивной организации или муниципальной образовательной организации, осуществляющей деятельность в области физической культуры и спорта, индивидуальный номер налогоплательщика | |||||||||||||
n.1 | Направление расходования средств субсидии: "Капитальный ремонт" | |||||||||||||
наименование объекта недвижимого имущества, капитальный ремонт которого планируется провести | кадастровый номер и адрес объекта недвижимого имущества, капитальный ремонт которого планируется провести | информация о проведении проверки достоверности определения сметной стоимости капитального ремонта объекта капитального строительства | х | |||||||||||
необходимость (да/нет)<**> | реквизиты положительного заключения о достоверности определения сметной стоимости объекта капитального строительства<***> | |||||||||||||
n.1.1 |
|
|
|
|
| |||||||||
… |
|
|
|
|
| |||||||||
n.2 | Направление расходования средств субсидии: "Обустройство существующего плоскостного спортивного сооружения" | |||||||||||||
тип плоскостного спортивного сооружения<****> | сведения о существующем плоскостном спортивном сооружении, обустройство которого планируется провести<*****> | х | ||||||||||||
отдельный объект имущества | в составе объекта недвижимого имущества | единовременная пропускная способность (чел.) | x | |||||||||||
до обустройства | после обустройства | x | ||||||||||||
наименова-ние объекта имущества (плоскостного спортивного сооружения) | движимое/ недвижимое (в том числе для объекта недвижимого имущества кадастровый номер и адрес) | наименование объекта недвижимого имущества, в составе которого находится плоскостное спортивное сооружение | наименование плоскостного спортивного сооружения | кадастровый номер и адрес объекта недвижимого имущества, в составе которого находится плоскостное спортивное сооружение |
|
| x | |||||||
n.2.1 |
|
|
|
|
|
|
|
|
| |||||
… |
|
|
|
|
|
|
|
|
| |||||
n.3 | Направление расходования средств субсидии: "Устройство нового плоскостного спортивного сооружения в городской местности" | |||||||||||||
тип плоскостного спортивного сооружения<****> | кадастровый (условный) номер земельного участка, на котором планируется осуществить устройство нового плоскостного спортивного сооружения | единовременная пропускная способность (чел.) | х | |||||||||||
n.3.1 |
|
|
|
| ||||||||||
… |
|
|
|
| ||||||||||
Объём финансирования за счет средств местного бюджета<******> |
| |||||||||||||
в том числе за счет средств субсидии: |
| |||||||||||||
__________________
Примечания к таблице (при заполнении заявки включение примечаний к таблице не является обязательным):
<*>Таблица заполняется в разрезе муниципальных физкультурно-спортивных организаций и (или) муниципальных образовательных организации, осуществляющих деятельность в области физической культуры и спорта. Строки n.1, n.2, n.3 подлежат включению в таблицу в случае истребования субсидии по соответствующим направлением расходования средств субсидии и заполняются в разрезе объектов недвижимого имущества, плоскостных спортивных сооружений.
<**>Наличие необходимости (обязательности) проведения проверки достоверности определения сметной стоимости объекта капитального строительства определяется муниципальным образованием Красноярского края в соответствии с пунктом 27.4 Положения об организации и проведении государственной экспертизы проектной документации и результатов инженерных изысканий, утвержденного постановлением Правительства Российской Федерации от 05.03.2007 N 145.
<***>Графа заполняется в случае, если в графе "необходимость (да/нет)" указывается значение "да".
<****>Тип плоскостного спортивного сооружения указывается в соответствии с абзацем девятым раздела III Указаний по заполнению формы федерального статистического наблюдения N 1-ФК "Сведения о физической культуре и спорте", утвержденных приказом Федеральной службы государственной статистики от 27.03.2019 N 172 "Об утверждении формы федерального статистического наблюдения с указаниями по ее заполнению для организации Министерством спорта Российской Федерации федерального статистического наблюдения в сфере физической культуры и спорта".
<*****>В случае истребования субсидии по направлению расходования: "Обустройство существующего плоскостного спортивного сооружения" заполнению подлежит одна из двух граф "отдельный объект имущества" или "в составе объекта недвижимого имущества".
<******>Указывается общий объем бюджетных ассигнований местного бюджета на исполнение расходного обязательства по модернизации и (или) укреплению материально-технической базы организаций, созданных соответствующим муниципальным округом, городским округом, муниципальным районом Красноярского края или поселением Красноярского края, входящим в состав соответствующего муниципального района Красноярского края, включая размер планируемой к предоставлению субсидии.
В случае принятия решения о предоставлении местному бюджету обязуюсь (гарантирую):
обеспечить наличие в местном бюджете бюджетных ассигнований на исполнение расходного обязательства по модернизации и (или) укреплению материально-технической базы муниципальных физкультурно-спортивных организаций и муниципальных образовательных организаций, осуществляющих деятельность в области физической культуры и спорта, в вышеуказанном объеме с учетом требований пункта 13 Порядка предоставления и распределения субсидии бюджетам муниципальных образований Красноярского края на модернизацию и укрепление материально-технической базы муниципальных физкультурно-спортивных организаций и муниципальных образовательных организаций, осуществляющих деятельность в области физической культуры и спорта (далее – Порядок), в том числе представить в министерство спорта Красноярского края выписку из решения о местном бюджете (сводной бюджетной росписи местного бюджета) с указанием сумм расходов по разделам, подразделам, целевым статьям и видам расходов бюджетной классификации Российской Федерации, подтверждающую наличие в местном бюджете бюджетных ассигнований на полное исполнение расходного обязательства по модернизации и (или) укреплению материально-технической базы физкультурно-спортивных организаций и муниципальных образовательных организаций, осуществляющих деятельность в области физической культуры и спорта, в объеме, необходимом для его исполнения, включая размер планируемой к предоставлению из краевого бюджета субсидии;
обеспечить централизованное осуществление закупок товаров, работ, услуг для обеспечения муниципальных нужд, финансовое обеспечение которых осуществляется за счет субсидии, в соответствии с частью 7 статьи 26 Федерального закона от 05.04.2013 N 44-ФЗ "О контрактной системе в сфере закупок товаров, работ, услуг для обеспечения государственных и муниципальных нужд" (за исключением случая, указанного в подпункте 4 пункта 6 Порядка);
обеспечить расходование средств субсидии в соответствии с Порядком;
обеспечить достижение в результате использования субсидии устанавливаемого(ых) министерством спорта Красноярского края при заключении соглашения о предоставлении субсидии значения(ий) показателя(ей) результативности использования субсидии, указанных в пункте 16 Порядка.
При расходовании средств субсидии, истребимой для модернизации и (или) укрепления материально-технической базы муниципальных автономных учреждений, такие муниципальные автономные учреждения будут являться заказчиками при осуществлении закупок товаров, работ, услуг.
Достоверность представленной в составе настоящей заявки информации гарантирую.
_______________________________________________________ (наименование должности главы муниципального района, муниципального округа, городского округа Красноярского края, главы администрации муниципального района, городского округа Красноярского края или иного уполномоченного лица) |
___________________ (подпись) |
___________________________ (фамилия, инициалы) |
М.П.
Дата
Приложение N 2 к Порядку предоставления и распределения субсидии бюджетам муниципальных образований Красноярского края на модернизацию и укрепление материально-технической базы муниципальных физкультурно-спортивных организаций и муниципальных образовательных организаций, осуществляющих деятельность в области физической культуры и спорта (форма)
Рейтинг заявок на участие в ____________________ по распределению субсидии на модернизацию и укрепление (конкурсе или повторном конкурсе) материально-технической базы муниципальных физкультурно-спортивных организаций и муниципальных образовательных организаций, осуществляющих деятельность в области физической культуры и спорта (_______ год)
(В редакции Постановления Правительства Красноярского края от 24.09.2020 г. N 656-п; от 12.11.2020 г. N 776-п)
| ||||||||||||||||||||||||||||||
N п/п | Наименование муниципально-го образования Красноярского края | Наименова-ние органи-зации (ИНН <*>) | Направление расходова- ния средств субсидии ** | Результаты оценки | Объёмы финансирования | |||||||||||||||||||||||||
итого баллов (гр. 6 + гр. 13) | оценка по критерию 1 <***> | оценка по критерию 2 <****> | оценка по критерию 3 <*****>
| дата и время подачи заявки | общий объем расходного обязательства (руб.) | запрашиваемый объем субсидии (руб.) | Предлагаемый объем субсидии (тыс. руб.) | |||||||||||||||||||||||
значение (%) | кол-во баллов | значение (%) | кол-во баллов | значение (%) | кол-во баллов | |||||||||||||||||||||||||
1 | 2 | 3 | 4 | 5 | 6 | 7 | 8 | 9 | 10 | 11 | 12 | 13 | 14 | 15 | ||||||||||||||||
Раздел 1. В отношении объектов имущества, расположенных в сельской местности | ||||||||||||||||||||||||||||||
1.1 |
|
|
|
|
|
|
|
|
|
|
|
|
|
| ||||||||||||||||
… |
|
|
|
|
|
|
|
|
|
|
|
|
|
| ||||||||||||||||
Итого по разделу 1: |
|
| ||||||||||||||||||||||||||||
Раздел 2. В отношении объектов имущества, расположенных в городской местности | ||||||||||||||||||||||||||||||
2.1 |
|
|
|
|
|
|
|
|
|
|
|
|
|
| ||||||||||||||||
… |
|
|
|
|
|
|
|
|
|
|
|
|
|
| ||||||||||||||||
Итого по подразделу 2 |
|
| ||||||||||||||||||||||||||||
Всего |
|
| ||||||||||||||||||||||||||||
____________________
<*> Идентификационный номер налогоплательщика.
<**> С указанием:
1) по направлению расходования средств субсидии "Капитальный ремонт": наименования, кадастрового номера и адреса объекта недвижимого имущества, капитальный ремонт которого планируется провести;
2) по направлению расходования средств субсидии "Обустройство существующего плоскостного спортивного сооружения":
а) для плоскостных спортивных сооружений, являющихся отдельными объектами имущества: наименования объекта имущества (плоскостного спортивного сооружения), адреса объекта имущества (плоскостного спортивного сооружения);
б) для плоскостных спортивных сооружений, входящих в состав объекта недвижимого имущества: наименования объекта недвижимого имущества, в составе которого находится плоскостное спортивное сооружение, кадастрового номера и адреса объекта недвижимого имущества, в составе которого находится плоскостное спортивное сооружение, наименования плоскостного спортивного сооружения, типа плоскостного спортивного сооружения;
3) по направлению расходования средств субсидии "Устройство нового плоскостного спортивного сооружения в городской местности": типа плоскостного спортивного сооружения, кадастрового (условного) номера и адреса земельного участка, на котором планируется осуществить устройство нового плоскостного спортивного сооружения, его единовременной пропускной способности.
<***> Критерий отбора муниципальных образований Красноярского края для предоставления субсидии, указанный в подпункте 1 пункта 12 Порядка предоставления и распределения субсидии бюджетам муниципальных образований Красноярского края на модернизацию и укрепление материально-технической базы муниципальных физкультурно-спортивных организаций и муниципальных образовательных организаций, осуществляющих деятельность в области физической культуры и спорта (далее – Порядок). (В редакции Постановления Правительства Красноярского края от 12.11.2020 г. N 776-п)
<****> Критерий отбора муниципальных образований Красноярского края для предоставления субсидии, указанный в подпункте 2 пункта 12 Порядка. (В редакции Постановления Правительства Красноярского края от 12.11.2020 г. N 776-п)
<*****> Критерий отбора муниципальных образований Красноярского края для предоставления субсидии, указанный в подпункте 3 пункта 12 Порядка. (В редакции Постановления Правительства Красноярского края от 12.11.2020 г. N 776-п)
